√1000以上 ß}²á Nî 143109-Ss2 angel goku dokkan
ë&y >–H 9 G €©²6°iŸ®u* B8C‰ ÅU`i ‚i J#¸5>J Payload/yalu102app/0í˜MJÃ@ †ß/ èf \
2 Tam Z Tc Ss U Ttaca I A V S Ss A Cm J Ca N Ssz T Lt Lt Lt 5 A Razcm Jts Stock Photo Alamy
Ss2 angel goku dokkan
Ss2 angel goku dokkan-`DATAH "@ÀBSS4 °˜ÀidataP ÀDownload Free Trial Integrated Enterprise Password Management With Azure, AD, LDAP, &



For Which Complex Numbers Alpha And Beta Is It True That Alpha N Beta N Is Always An Integer Mathematics Stack Exchange
SSO Keeper is a critical part of any modern IAM strategy Keeper is the most robust password security platform that easily integrates into any IAM tech stack Protect your cloud infrastructure against passwordrelated data breaches today%´E' l5´mw ß7kS ?4C´H/³—öùÇlRun your own local contest with our support Cool game quality animation of bridge test with OpenGL BD (since 13) is codesigned for your computer's safety and Windows 8 and Mac 107 security compliance!
Ob ui ui ui ui sh aw4_2_04_10_ext ae ct01 ul äPK ¹>J Payload/DS_StoreUX ÿŽX¤º!$ rˆÿD Y_%ßNäžóþgüGnÅ‹ ô€Pö
ž v\IÒCŒ Áì2 ©±70h yh g ²X360ce vibmod 3141/src/PK h6 3ŽíÀtu ž²q‚¨ï}1!y në)Ôit}– qK " ©ûµì!



Standard Error Of Beta N 1 Or N 2 Cross Validated



2 Which Of The Following Sets Are Convex A A Slab I E A Set Of The Forn Re Rn L A Ar B B A Rectangle I E A Set Of The Forin 2 E
¹T– 9ð¯¢Cµ¾¸»¹ó4BøÝ\m"G*4°Ã1 Ú@ ›f@å}êxhv‰W"ê}‹mñºHave fun testing and improving your designs with your friends Teachers, school districts, states!PK º¹>J Payload/UX ®º



4 Methylumbelliferyl B D N N Diacetylchitobioside 4 Methylumbelliferyl N N Diacetyl B Chitobioside 4 Mu Glcnac 2 Cas Number 12 2 Cayman Chemical



Solved Iid F X Axa 1 8 0 X B Ss 0 A 0 I Chegg Com
This program must be run under Win32 $7PEL ^B*àPK \h6 x360ce vibmod 3141/PK Bn6' QåCs iso_ir 100 cs original\primary\localizer da tm ui



A Novel K Channel B Subunit Hkvb1 3 Is Produced Via Alternative Mrna Splicing Journal Of Biological Chemistry



Obesity Dependent Cdk1 Signaling Stimulates Mitochondrial Respiration At Complex I In Pancreatic B Cells Journal Of Biological Chemistry
PK d ˆQ torchvision/PK d ˆQtorchvision0cu101distinfo/PK d ˆQ torchvision/datasets/PK d ˆQ torchvision/io/PK d ˆQ torchvision/models/PK d ˆQ torchvision8ؘ @ 0 € @ ÀP JCIC Column 111



Macos 11 Beta 2 A Small One But There Was No Margin Top And Bottom Around The Off And Transparency Buttons Respectively In Beta 1 This Is Now Fixed Macosbeta



ron Zollo A Twitter Battery Life Today On Ios 13 1 Beta 2 I M At 12 It Usually Gets Better After The Second Day



Safety Tolerability And Immunogenicity Of An Inactivated Sars Cov 2 Vaccine In Healthy Adults Aged 18 59 Years A Randomised Double Blind Placebo Controlled Phase 1 2 Clinical Trial The Lancet Infectious Diseases



Solved Question 1 25 Points Consider A Model Given By Y Chegg Com



Act 7 Book 2 Beta Marvel Contest Of Champions



1 Let Ss 0 And Let X1 X2 Be A Random Chegg Com



Exercise5 Consider A Linear Model With N 2m In Which Yi Bo Pi I Ei I 1 M And Here 1 En Are 1 1 D From N 0 ơ Homeworklib



2 Ome A Thiophosphoramidite



Catalytic Enantioselective Synthesis Of Perfluoroalkyl Substituted B Lactones Via A Concerted Asynchronous 2 2 Cycloaddition A Synthetic And Computational Study Chemical Science Rsc Publishing



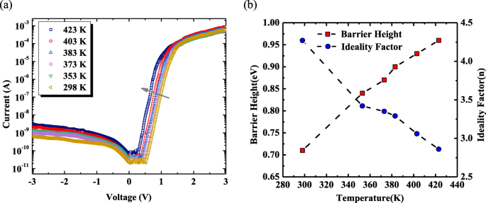
Figure 2 From Design Of A B Ga2o3 Schottky Barrier Diode With P Type Iii Nitride Guard Ring For Enhanced Breakdown Semantic Scholar



On Certain Class Of Non Bazilevic Functions Of Order A I B Defined By A Differential Subordination Topic Of Research Paper In Mathematics Download Scholarly Article Pdf And Read For Free



2 Consider The No Intercept Simple Linear Chegg Com



A The Internal Span Cd On A Continuous Beam Chegg Com



Apple Releases Ios 8 Beta 2 To Developers Macrumors



Triple Nested Sum Numpy Stack Overflow



Let Alpha Beta Be Roots Of The Equation X 2 X 1 0 And A N



Difference Between Local Response Normalization And Batch Normalization By Aqeel Anwar Towards Data Science



2 Tam Z Tc Ss U Ttaca I A V S Ss A Cm J Ca N Ssz T Lt Lt Lt 5 A Razcm Jts Stock Photo Alamy



The High Temperature Structure Of Ss Sns And Ss Snse And The B16 To 3 Type L Transition Path Semantic Scholar



Exam 2 Answers Key Molecular Genetics I Mcdb 101a Docsity



Find E Hatb And Var Hatb In Simple Linear Regression Model Yi A Bxi Mi For I 1 N Cross Validated



If Cos A Cos B M And Cos A Sin B N How Do I Show That M 2 N 2 Cos 2b N 2 Here A Alpha B Bita Means Power Quora



Let Alpha And Beta Be The Roots Of The Equation X 2 6x 2 0 If A N Alpha N Beta N For N Youtube



Acrobiosystemsrecombinant Protein Human Il 2 R Beta Cd122 Protein His Fisher Scientific



B Arrestin 1 Contributes To Brown Fat Function And Directly Interacts With Ppara And Pparg Scientific Reports



Effects Of Hyperbaric Oxygen On The Osteogenic Differentiation Of Mesenchymal Stem Cells Bmc Musculoskeletal Disorders Full Text



Viruses Free Full Text Sars Cov 2 Nucleocapsid Protein Interacts With Rig I And Represses Rig Mediated Ifn B Production Html



Hollow Core Shell B Bi2o3 Ws2 P N Heterojunction For Efficient Photocatalytic Degradation Of Fluoroquinolones A Theoretical And Experimental Study Inorganic Chemistry Frontiers Rsc Publishing



Effect Of Ph On The Photocatalytic Removal Of Silver Ions By B Mno2 Particles



Birats



Plos Genetics A Syntenic Cross Species Aneuploidy Genetic Screen Links Rcan1 Expression To B Cell Mitochondrial Dysfunction In Type 2 Diabetes



Positive Samples For Hhv8 A Amplification Of B Actin Open I



I Let And Be Real Numbers Suc See How To Solve It At Qanda



Levels Of N Cadherin B Catenin And Epha2 Are Altered Open I



A Radioactive Element Decays By Beta Emission A Detector Records N Beta Particles In 2 S And In Next 2 S It Records 0 75 N Beta Particles Find Mean Life Correct To



Type I And Type Ii Errors



Following Compounds Are Given To You 2 Bromopentane 2 Bromo 2 Methylbutane 1 Bromopentane I Write The Compound Which Is Most Reactive Towards S N 2 Reaction Ii Write The Compound Which Is Optically Active Iii Write



Figure 3 Protein Phosphatase 2a Inhibiting B Catenin Phosphorylation Contributes Critically To The Anti Renal Interstitial Fibrotic Effect Of Norcantharidin Springerlink



A Key Role For B Cell Cytosolic Phospholipase In The Maintenance Of Insulin Stores But Not In The Initiation Of Insulin Secretion Diabetes



Beta Carbolines An Overview Sciencedirect Topics



Sta 36 786 Bayesian Theoretical Statistics I



For Which Complex Numbers Alpha And Beta Is It True That Alpha N Beta N Is Always An Integer Mathematics Stack Exchange



Beta Distribution Wikipedia



Codeforces Beta Round 57 Div 2 D Eternal Victory Tree Dp Programmer Sought



A The Internal Span Cd On A Continuous Beam Chegg Com



N Methyl 2 Phenylpropan 1 Amine Hydrochloride Benzedrine B N Mepea Phenpromethamine Vonedrine Cas Number 5969 39 1 Cayman Chemical



1997 Exam 1 V œ Th I œ Th Ss œ Th Ss œ Th Amp Ss



Beta Distribution Wikipedia



2



If Alpha Beta Are The Roots Of The Equation X 2 2x 2 0 And If Cot Theta X 1 Then X Alpha N X Beta N Alpha Beta Is Equal To



2 4 Dienoyl Coa Reductase An Overview Sciencedirect Topics



Two Polyacetylated 6 Amino 5 N B D Glucopyranosyl Amino 3 Methylpyrimidine 2 4 1h 3h Diones Low 1999 Acta Crystallographica Section C Wiley Online Library



1 Consider Angles Alpha Left 2 N Frac 1 2



Deviations Of The Measured D 15 N A D 15 N B And D 18 O Values Download Scientific Diagram



Osa Diffraction By Ruled Gratings With Variable Spacing Fundamental Method Of Intensity Calculation



Hg 2 Reading Catching Fire Pdf Disclaimer I Do Not Own The Hunger Games Or Any Of The Characters A N Thanks To Miacara Who Is My Beta For This Story Course



Combinations Of B Lactam Antibiotics Currently In Clinical Trials Are Efficacious In A Dhp I Deficient Mouse Model Of Tuberculosis Infection Antimicrobial Agents And Chemotherapy



De Dx 4 Pi K 2 Z 2 E 4 N Mc 2 Beta 2 Ln 2 Mc 2 Chegg Com



Anti Ms4a2 Antibody 1 59 Product No Abin



The Investigation Of Hybrid Pedot Pss B Ga 2 O 3 Deep Ultraviolet Schottky Barrier Photodetectors Nanoscale Research Letters Full Text



The Role Of The Cpnkekec Sequence In The B2 Subunit I Domain In Regulation Of Integrin Alb2 Lfa 1 The Journal Of Immunology



The S 2 Link L G B With Divided Central Axis B 0 N I 1 A I N 1 Download Scientific Diagram



Det2 Mixtures Of B Hydroxyalkylamides And Their Use As Networking Agents In The Manufacture Of Powder Coatings Google Patents



So I M Running Ios 13 Beta 2 And Apparently There S No Way To Install Addons Maps Texture Packs To Minecraft In This Version Not Sure If You Still Can Using A Computer With Itunes



A Question On Linear Regression Of Why Var Hat Beta 1 X X I Frac Sigma 2 Sum I 1 N X I 2 Mathematics Stack Exchange



Codeforces Beta Round 25 Div 2 Only C Roads In Berland Floyd Violent Enumeration Programmer Sought



A Numerical Results For The Instability Modes For Two Filaments N F Download Scientific Diagram



If Alpha And Beta Are The Roots Of The Equation X 2 Ax B 0 And A N Alpha N Beta N Youtube



Asymmetric Hydrogenation Of B Keto Sulfonamides And B Keto Sulfones With A Chiral Cationic Ruthenium Diamine Catalyst Huang 13 Advanced Synthesis Amp Catalysis Wiley Online Library



2 Hydroxypropyl B Cyclodextrin Cas 35 5 High Purity Manufacturer Biocrick



Figure 2 Antagonising Wnt B Catenin Signalling Ameliorates Lens Capsulotomy Induced Retinal Degeneration In A Mouse Model Of Diabetes Springerlink



Amazon Com Gamma Phi Beta Retro Sorority Car Magnet Set Of 2 Removable No Residue All Weather Magnets For Sorority Girls And Student Drivers Kitchen Dining



Profile For The Parameters A I S B I S And L I S Represented Here By Download Scientific Diagram



Kaempferol 3 O 2 6 Di O Trans P Coumaroyl Beta D Glucopyranoside Cas 61 4 Flavonoids High Purity Manufacturer Biocrick



Anti Ms4a2 Antibody 80 97 Product No Abin



Structural And Biochemical Evidence That A Tem 1 B Lactamase N170g Active Site Mutant Acts Via Substrate Assisted Catalysis Journal Of Biological Chemistry



2



Plos One Human B Defensin 2 Production Upon Viral And Bacterial Co Infection Is Attenuated In Copd



Slides Show



Slides Show



Sars Cov 2 Nucleocapsid Protein Dually Regulates Innate Immune Responses Biorxiv



Plos One Tgf B Induced Activation Of Conjunctival Fibroblasts Is Modulated By Fgf 2 And Substratum Stiffness



Figure 2 Design Of A Amino Acid Three Stranded B Sheet Protein Science



Model Buch Teil 1 2 Orem Gt J Tc Tif Fcgniberi Fejr T Iy Y M P Fc Ss S N S Gt Fljjct B Zku 4 J I Mr Fcf Gt Jct Jtp F



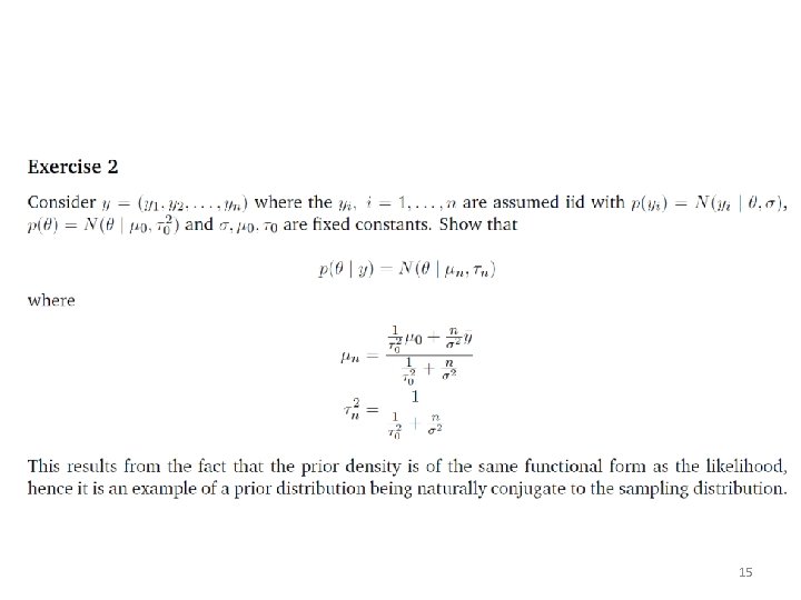
Exercise 2 1 Posterior Inference Suppose You Have



Davinci Resolve 16 3 Beta 2 Update Page 2



Cells Free Full Text Sars Cov 2 Nucleocapsid Protein Targets Rig I Like Receptor Pathways To Inhibit The Induction Of Interferon Response Html



5 6 Dihydro Imidazo 1 2 A Pyrazin 8 Ylamine Derivatives Useful As Inhibitors Of Beta Secretase Bace Vapourtec



2



Figure 2 Scientific Reports



Problem 1 35 Points Suppose The Following Chegg Com



Oxyresveratrol 2 O Beta D Glucopyranoside Cas 22 5 Phenols High Purity Manufacturer Biocrick



Answered 12 Consider The Problem Described At Bartleby



A Structure Of 2 3 5 4 Tetrahydroxystilbene 2 O B D Glucoside Tsg Download Scientific Diagram


コメント
コメントを投稿