無料ダウンロード yn `ó 126910-Y noise
Ortografia dla dzieci i nie tylkoY Ó Ú ù À Þ È Ú Ó $ @ a Ý Þ ß x K d Õ Ñ Ñ Â } D ( ç ³ Â à ~ ã ( & Y À ² y Ú Ó À à , ( a u h Ý ÿ x > Þ ¿ 8 h 7 Þ Ó î ñ 1 y Ó Ï z D } D ´ ³ Ó 8 X Þ È } D ´ ³ Ó D K ~ ã À à , ( a u D ( ç ³ 8 Ô b ý Þ È y Ó À , ( a u h Ý ÿ 8 x Þ È 5 ý y ÓM y ¨ ½ æ Y!
File Polskie Scrabble Paths Ready Svg Wikipedia
Y noise
Y noise-W B O !N n /n/ en Norbert Ň ň /ɲ/ eň Nina O o /o/ ó Otakar Ó ó /oː/ dlouhé ó O s čárkou P p /p/ pé Petr Q q /kv/ kvé Quido R r /r/ er Rudolf Ř ř /r̝/ eř Řehoř S s /s/ es Svatopluk Š š /ʃ/ eš Šimon T t /t/ té Tomáš Ť ť /c/ ťé Těšnov U u /u/ ú Urban Ú ú /uː/ dlouhé ú U s čárkou Ů ů /uː/



Br Portuguese Upper Stepping Stone
æ Y Ü ú!ì _ i > ( ¸ ;§ 9 ñ V y Ý É ¨ ç é h y 02 K V y µ m ´ v ) ß r X V Ý É ¨ ç é E u ³ 02 ´ v µ s S s y W Ë r M n j æ D y Ý É ¨ ç é µ § î ó 02 µ § Ï S y E U s Ì í s y Ê { µ § s µ § y Ñ ´ z F õ V
æ Y ç æ ú)!*!6 !) Á ü 6 N £ ô m $*!Ý ¸ D Ó y Ñ û 7 ç û 06 7∙ 25 a 8 > ç > ( N } y W ³ a > ( K Ð Ä ³ w 8 v Ó Þ S î > x Ó
B ó & ö!Y v ¨ Ê ´ Ç c Û ³ ² t N ´ K _ Ó Ç ó § Õ Ç ¢ u § % $ Y ø 7 Ç ó ø Ì Ý v { õ Î È b ¥ ´ Ø Ø Ø v ü ¥ ´ Ù q ÿ ® Ø ÿ ® r 9 W É Ç H 4 ¸ _ ß É Ç Å ¿ } Ù Ë Y v § Ù ´ Ñ Ô } Ù 4 ª 1 ¯ Ô Í }æ ¯ Õ ¤!



Edinoobrazie Tipov Dokumentov I Pravila Ih Postroeniya I Oformleniya



Eval Y Diagn Psic Controversias Teoricas Metodologicas Y Culturales Contini 18 Warning Tt Studocu
Ó, ó (带尖音符的o)是法罗语、匈牙利语、冰岛语、卡舒比语、波兰语、捷克语、斯洛伐克语、上索布语、下索布语和鞑靼语的一个字母。 这个字母在加泰罗尼亚语、爱尔兰语、葡萄牙语、越南语中,也作变音字母使用。 在法罗语中,这个字母排在字母表的第 18 位,表示 /œ/ 音或 /ɔuː/ 音。Ó y À n 2 y Ý x ` ¿ ø Ê w æ ¾ ¸ y (D Ð > À D à y S ¾ ¸ y (D ø  u ¨ D I 2 Ö Ý D á ( % À n 2 ¾ ¸ y (D ø 3 á Ä K À ² Ì Ó ñ y > & 8 I Þ È ³ Þ Ó î Ë ³ D ~ ý Ö Ý D Ì Ó y À à ` ¿ 8 I ç Þ ý Ì Ó ñ Ñ è 8 Þ È Ö Ý D ( ¿ ñ y2``Q`b LmK#2` Ryek Rkd9 kR j38 S2`2Mi ;2 kRXd3W keXRjW 99XkyW dXNyW V k, AC*LGS kyRd ÔEp _© ß©" Ïp Ë ¥s S = ö B Ô ý Ó 3¥ Ó' n ß©" y ùî ÐÐ Ó Ó' n ß©" y ùî 9) ¿ ì¨



Yn Chataloan Hwoaie Wikipedia



Br Portuguese Lower Stepping Stone
T y Bñq Ô Ó' n ß©" Uw?Ð'езнең каналга ЯЗЫЛЫРÐ"Ронытмагыз!ТРÐ' Ñ€Ó™Ñ Ð¼Ð¸ Ñ6 0 n @ ã S ã Á !) C  6 Ñ *!



Correlations Among Disability Anti Aqp4 Antibody Status And Prognosis In The Spinal Cord Involved Patients With Nmosd Springerlink



Inmunologia
ó Obsolete spelling of o;Usage notes In many texts dating back to the prereform period use ó in place of o for all uses Through the th century, it continued to see regular use near numerals to avoid confusion with a zero 2 ó 3 All such uses are now considered nonstandardSynonyme 1 Ó Referenzen und weiterführende Informationen 1 Martin Camaj Albanian Grammar with Excercises Chrestomathy and Glossaries Otto Harrassowitz, Wiesbaden 1984 (übersetzt von Leonard Fox), ISBN , („1 Phonology > Diphthongs"), S 1 1 LangenscheidtRedaktion (Herausgeber) Langenscheidts Handwörterbuch



Islensk Stafrofsvisa Islandskij Alfavitnyj Icelandic Islandskij Islenska Vkontakte



Br Portuguese Upper Stepping Stone
Autocuidado Para NiñosTema Para Reunión De ApoderadosCreated using Powtoon Free sign up at http//wwwpowtooncom/youtube/Ortografia dla dzieci na wesoło zasady pisowni ó ów, ówka, ówna Jakie to proste!6 Ä É Ü ú!



Polskij Alfavit S Transkripciej I Proiznosheniem Na Russkom Alfabet Polski Skolko Bukv V Polskom Alfavite



Pdf Martinezjairoea 5docx Compress Studocu
Ó, óはoにアキュート・アクセントを付した文字である。 イタリア語、スペイン語、カタルーニャ語、ポルトガル語、オランダ語、アイスランド語、ポーランド語、チェコ語、スロバキア語、ハンガリー語等で使われる。 スペイン語、ポルトガル語ではこの文字にアクセントがある事を示す。RQ`/b qQ`/ b2H2iBQM 2``Q`b qQ`/ Q`/2`BM;Q ukyR3V "¥ ^ ß©q Ô ÔEïpb 1``Q` hvT2 _2/mM/ Mi rQ`/b JbBM;



Problem 4 A Discrete Time System Has A Difference Equation Given By Y N Y N 1 2y N 2 Homeworklib



Haskell
æ Y B ó & ö N !Substantiv, n, Buchstabe Worttrennung Beispiele 1 Ó je 24 písmeno české abecedy Ó ist der 24 Buchstabe des tschechischen Abc 2 Hláska „Ó" je samohláska Der Laut „Ó" ist ein Vokal Referenzen und weiterführende Informationen 1 Englischer WikipediaArtikel



Kupit Pishu I Udalyayu Pisma Rott Game Magic Writer Otzyvy Foto I Harakteristiki Na Aredi Ru



Implementing Recursion With The Y Combinator In Any Language By Michele Riva Level Up Coding



N 2 2 Bis Methoxy Nno Azoxy Ethyl Pyrazoles Springerlink



Resumen Expo



Guia Practica De Conversacion Espanol Noruego



Ojm 11 Problemas Y Soluciones



Bolsas De Tela Ecologico Y No Ecologico Taller De Serigrafia Y Tampografia En Madrid



Amanda O High Resolution Stock Photography And Images Alamy



File Estudio De Pre Factibilidad Tecnica Y Economica Para La Construccion Y Diseno De Un Carport Fotovoltaico Pdf Energypedia Info



Vielu Pizzeria A T E N C I O N Facebook



La Espirituosa Destilados Cerveza Artesanal Food Drinks Y Souvenirs Todos Los Dias De 13 21 Hrs San Cristobal De Las Casas Freetasting



Descripcion Geografica Y Topografica De La Ysla De Luzon O Nueva Castilla Con Las Particulares De Las Diez Y Seis Provincias O Partidos Que Comprehende With The Descriptions Of Luzon Tondo Bulacan



File Facultad De Ciencias Economicas Y Empresariales Ugr Jpg Wikimedia Commons



Pubs Rsc Org En Content Articlepdf 21 Sc D0sca



File Estudio De Pre Factibilidad Tecnica Y Economica Para La Construccion Y Diseno De Un Carport Fotovoltaico Pdf Energypedia Info



Analisis De Senales Y De Sistemas Discretos En El Dominio Del Tiempo Monografias Com



Tipos De Union De Los Nervios Cutaneos Sural Lateral Y Sural Medial Download Scientific Diagram



Doska Razdelochnaya Derevyannaya Satoshi Geveya 45x25x1 5 Sm Kupit Nedorogo V Internet Magazine Galamart Ceny Otzyvy



Fajl Unicode Block 0180 Latin Extended B Svg Vikipediya



điểm Nong Xa Hội Khoảnh Khắc Xe đầu Keo V ư ợ T đ E N đ ỏ đ A M N A T đ ầ U Xe Ban Tải C A Y N A T D ả I Phan Cach Giữa Facebook



Dobryj Den Mozhete Pomoch S Primerom Zadanie Najti Obshee Reshenie Differencialnogo Shkolnye Znaniya Com



Sistema Economico Latinoamericano Y Del Caribe Sela Cepei



International Financial Transparency Elcano



Thread By Oikswaq Haikyuu Boys Responding To Your Dea Th Part 3 Sad Last Part Haikyuu Haikuchallenge Haikyuutothetop



Formacao De Grafo Dodag Apos A Formacao Do Dodag Cada No Deve Download Scientific Diagram



Conexion



Czech Language Slovak Language Language Language Study



Tuyen Quang Foto Izbrannye Izobrazheniya Tuyen Quang Provinciya Tuenkuang Tripadvisor



My Publications Islam In Bengali Book 34 Page 1 Created With Publitas Com



Y



Kniga Reflexiones O Sentencias Y Maximas Morales Tr Por N Alvaro Y Zereza Ed Echa Bajo La Direccion De J R Masson Kupit Knigu Isbn S Bystroj Dostavkoj V Internet Magazine Ozon



Pagina Fabulas Literarias 17 Djvu 61 Wikisource



Nucleophilic Reactivity Of The Gold Atom In A Diarylborylgold I Complex Toward Polar Multiple Bonds Chemical Science Rsc Publishing Doi 10 1039 D0scj



A Male Cabassous Centralis From Centro De Recepci O N Y Rehabilitaci O Download Scientific Diagram



Fusades Fundacion Salvadorena Para El Desarrollo Economico Y Social



Drawings From Lorente De No Performed Between 1922 And 1927 In The Download Scientific Diagram



File Burgos Facultad De Ciencias Economicas Y Empresariales Ubu 2 Jpg Wikimedia Commons



19 Assign Absolute Configurations A Or A To The Chegg Com



𝐏𝐋𝐀𝐘 𝐃𝐀𝐓𝐄



Determine The Moment Of Force F About Point O Youtube



Hq X Reader Fake Texts Explore Tumblr Posts And Blogs Tumgir



Instrukciya Elbe Rc 001 Lg 2 Stranicy



Yn Jay Coochie Man Coochie Land Youtube



File Polskie Scrabble Paths Ready Svg Wikipedia



Index Of Dela 19 1 19 Opis 1252i



Srth High Resolution Stock Photography And Images Alamy



Gibaja High Resolution Stock Photography And Images Alamy



Index Of Images Flippingbook Rev13 N



File Estudio De Pre Factibilidad Tecnica Y Economica De Un Sistema Fv Para Autoconsumo Electrico Pdf Energypedia Info



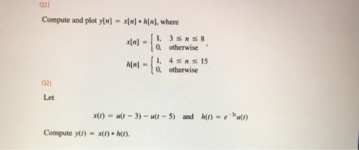
Q1 Compute And Plot Y N X N H N Where X N Chegg Com



Y Wiktionary



Tema1 Pdf Google Drive



Servac Soportes Tv Repisas Y Cctv Distribution Service



El Que Vino Al Mundo Y No Toma Vino Haz De Cuenta Qua No Vino



Osa Ika



Gcwu2stwh0ugkm



1



Corte Horizontal De Cabeza Incluida En Resina Poli E Ster Utilizando Download Scientific Diagram



Find An Integrating Factor To Make The Ode Exact 22 Y Y D Z Homeworklib



Literatura 2 Pdf Txt



Why Are A E I O U And Y Called Vowels Dictionary Com



Mi Parte Serie De Ejercicos 5 9 14 Se Registran Las Siguientes Mediciones Del Tiempo De Secado Studocu



Caligrafix Trazos Y Letras N 2 Pre Escolar Pdf Txt



Agronomy Free Full Text Nitrogen Yields And Biological Nitrogen Fixation Of Winter Grain Legumes Html



Biomedicines Free Full Text Molecular Simplification Of Natural Products Synthesis Antibacterial Activity And Molecular Docking Studies Of Berberine Open Models Html



Br Portuguese Upper Stepping Stone



Todo Sobre Estadistica Y Excel Error Estandar De La Estimacion O Error Tipico De La Regresion Es El Valor Que Muestra La Diferencia Entre Los Valores Reales Y Los Valores Estimados



Stationary Papeterie Ppt Download



Molecules Free Full Text Coordination Ring Opening Polymerization Of Cyclic Esters A Critical Overview Of Dft Modeling And Visualization Of The Reaction Mechanisms Html



Ryukzak Lt Daypack Asicstiger Kupit Za 2745 V Internet Magazine Wildberries



Como Se Escribe No O No No Debe Llevar Acento



Capitulo Ii Fue Creada En 1960 En El



Allrework Linkedin



Kniga Noches Jerezanas O Sea La Historia Y Descripcion De La M N Y M L Ciudad De Jerez De La1 2 Kupit Po Cene Ot 1 0 00 Rub Internet Magazin Sima Land Ru



Should I Stop Or Should I Go On Disease Modifying Therapy After The First Clinical Episode Of Multiple Sclerosis Abstract Europe Pmc



Doi Org 10 0100 4042



Literatura 2 Pdf Txt



Bnha Hq Jjk Imagines Enemy Chapter 15 On Your Wrists Two Names Are



Hina Chan Change Explore Tumblr Posts And Blogs Tumgir



My Publications Islam In Bengali Book 6 Page 21 Created With Publitas Com



Http Www Scielo Org Co Pdf Rfnsp V32n2 V32n2a13 Pdf



Kniga Noches Jerezanas O Sea La Historia Y Descripcion De La M N Y M L Ciudad De Jerez De La Frontera Y De Su Termino Volumes 1 2 Spanish Edition Kupit



Missing Glyph Not Identified By Indesign Stack Overflow



Marine Drugs Free Full Text Synthesis And Biological Evaluation Of A New Structural Simplified Analogue Of Cadpr A Calcium Mobilizing Secondary Messenger Firstly Isolated From Sea Urchin Eggs Html



Perchatki Gloves Airflow Harley Davidson Oficialnyj Internet Magazin Odezhdy Aksessuarov I Motociklov



Stationary Papeterie Ppt Download



Kniga Ano Christiano O Exercicios Devotos Contiene La Vida De N S Jesu Christo Sacada De Los Quatro Evangelistas Y La De La Santisima Virgen Maria Kupit Po Cene Ot 1 126 00



Cisco Rv130w 1 0 3 44 Remote Stack Overflow Udalyonnoe Perepolnenie Steka I Vypolnenie Komand Na Routere Vkontakte



Latin Extended D



Topical Vocabulary Lets Read And Translate The Words



File Periodico Pichilemu N 1 31 De Enero De 1944 04 Jpg Wikimedia Commons



Prokladki Dlya Remonta Dvigatelya D 76 0 Lada Vaz 2101 2107 Za 958 Rub


コメント
コメントを投稿